肉类产品中有一些样品如汉堡肉饼、乳化肉块、肉罐头、腊肠等,这类样品的特点是质地不均匀,样品的不同部位质地差异很大。故而这类样品的物性测试不能仅测试某一个部位,而是需要整体考察其质地特点,如要考察整个肉饼的咬合力、样品整体硬度情况、样品内部的结合强度等,要保证良好的口感了解产品的质地特性尤为重要,只有在充分了解产品质构指标才能在生产、加工的、销售等各方面进行合理的安排。
腊肠硬度测试实验

牛肉棒的嚼劲和硬度是其重要的质地特性,为了保证产品优秀的口感,必须找到牛肉棒咀嚼性、硬度等指标的范围。选用轻型切割刀刃,调用剪切程序,以刀刃全部没过平台为位移零点,确保可以将火腿肠完全切断。
图中显示了4种不同牛肉棒产品的剪切图谱,在剪切实验中主要关注最大剪切力,最大剪切力对应的位移和剪切力做功。由图可见4种牛肉棒的剪切力差异明显,结合感官评价可找到牛肉棒硬度的最佳范围。
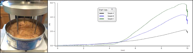
肉罐头的多针穿刺试验

罐装金枪鱼质地不均,如何获得此类样品准确的质地数据呢?多点穿刺实验是最佳的测试方法,多针穿刺探头上有多个针形探头,可以反应样品整体的质地特性。选用多针穿刺探头,对罐头进行穿刺实验,从而避免了因穿刺部位不同,产品均一性差导致的结果平行性差的问题。
图中显示了3种罐头产品的穿刺图谱。图形中显示的曲线时每个针得到的力量的平均值,多针穿刺可以很好的反应样品整体的质地特性,是评价非均质性肉品良好的测试方法,可以用于样品生产、加工、运输等多个方面。
肉饼的多刀剪切试验


肉饼因其是加工型肉类产品且产品的均一性要比火腿肠等产品差很多,简单的固定位置的挤压或剪切实验可能并不能很好的产品的整体特性,因为剪切或挤压的位置不同得到的数据完全不同,这就没有办法进行比较和分析。由于产品不均一,故而得到产品的综合质构特性就显得尤为重要,在此选择多刀剪切探头,从而得到样品的平均硬度、嫩度、韧性等各项指标,该探头广泛应用于肉制品、汉堡、粮食谷物等样品中。